Un cycliste effectue cinq tours de piste en 2 minutes 40 secondes. Sachant qu’à chaque tour, il a mis une seconde de plus qu’au précédent, déterminer le temps mis pour chaque tour. On donnera une résolution à l’aide d’une suite ou une résolution arithmétique.
Résolution à l’aide d’une suite (pour un élève de lycée)
Soit (Un) la suite de terme initial U0 sur l’ensemble des entiers naturels N.
Posons U0=t et 2 minutes 40 secondes = 2*60+40=120+40=160
Nous avons alors U1=t+1 ;
Puis U2=t+2 ;
Et donc de manière générale, Un=t+n.
Or, l’expression du terme général d’une suite arithmétique s’écrit :
Un=U0+n*r (avec r ∈ N).
Ainsi, il est facile de conclure que (Un) est arithmétique de premier terme U0=t et de raison 1.
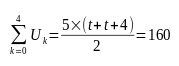
La somme d’une suite arithmétique des cinq premiers termes s’écrit :

Cela revient à résoudre une équation du premier degré :
320=10*t+20
t=30
Le cycliste met donc 30 secondes au premier tour, puis 31, 32, 33 et 34 secondes.
Vérification : 30+31+32+33+34=160
Résolution arithmétique (pour un élève de collège avec mise en équation)
On sait que le cycliste effectue 5 tours en 160 secondes.
Soit t le temps qu’il met au premier tour, au second il mettra une seconde de plus, le temps au tour s’écrit alors t+1.
Donc nous pouvons poser t+t+1+t+2+t+3+t+4=160
5t+10=160
<=> 5t=150
<=> t=150/5
<=> t=30
Vérification : 30+31+32+33+34=160
Ce résultat corrobore le précédent.
Nous voyons que les méthodes différent (même si elles sont sensiblement identiques). Toutefois, il est opportun d’observer que pour arriver à une solution il n’y a pas forcément qu’un seul chemin.
Tous les chemins mènent à Rome.
« Mille viae ducunt homines per saecula Romam Qui Dominum toto quaerere corde volunt. » Version latine
« Mille routes conduisent depuis des siècles à Rome les hommes qui désirent rechercher le Seigneur de tout leur cœur. » Version Française
